BusphotoBUSPHOTO

Picture Statistics

853 KB


Picture ID:736829
File Size:853 KB
Author:Światosław Neuhauz
Publication Date:13.03.2025 02:31 EET
Days in Database:332
Unique views:300
Comments:0

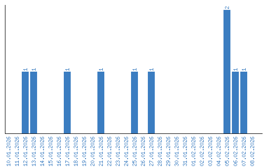
Viewing statistics by date