BusphotoBUSPHOTO

Picture Statistics

973 KB


Picture ID:734254
File Size:973 KB
Author:said
Publication Date:05.03.2025 00:49 EET
Days in Database:339
Unique views:171
Comments:0

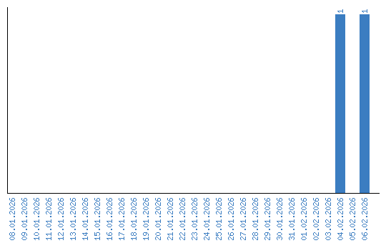
Viewing statistics by date