BusfotoBUSFOTO

Bildinformationen

628 KB


Foto-ID:732328
Dateigröße:628 KB
Aufgenommen von:Чайser
Veröffentlicht am:27.02.2025 12:26 EET
Tage seit Veröffentlichung:344
Aufrufe:93
Kommentare:0

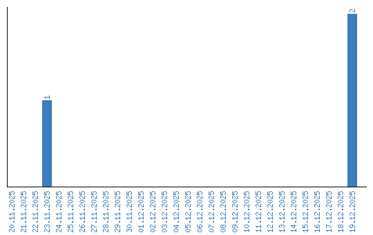
Aufrufestatistik (Tage)