BusphotoBUSPHOTO

Picture Statistics

5462 KB


Picture ID:731881
File Size:5462 KB
Author:oepnvbielefeld
Publication Date:25.02.2025 21:23 EET
Days in Database:345
Unique views:152
Comments:0

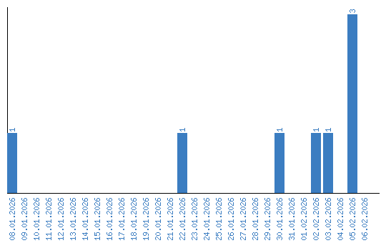
Viewing statistics by date