BusphotoBUSPHOTO

Picture Statistics

466 KB


Picture ID:731680
File Size:466 KB
Author:Verbounty
Publication Date:25.02.2025 04:51 EET
Days in Database:341
Unique views:207
Comments:0

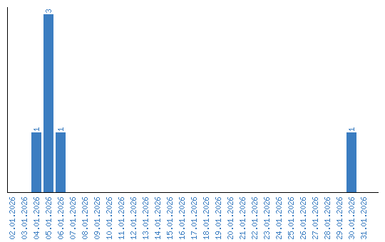
Viewing statistics by date