BusphotoBUSPHOTO

Picture Statistics

262 KB


Picture ID:724407
File Size:262 KB
Author:ToBen
Publication Date:03.02.2025 16:35 EET
Days in Database:361
Unique views:118
Comments:0

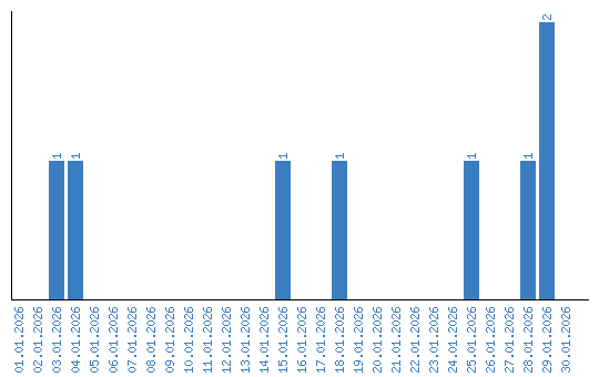
Viewing statistics by date