BusphotoBUSPHOTO

Picture Statistics

285 KB


Picture ID:723162
File Size:285 KB
Author:olegp
Publication Date:31.01.2025 14:55 EET
Days in Database:370
Unique views:145
Comments:0

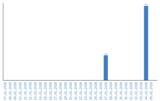
Viewing statistics by date