BusphotoBUSPHOTO

Picture Statistics

396 KB


Picture ID:721353
File Size:396 KB
Author:Артём Дмитренко
Publication Date:26.01.2025 16:08 EET
Days in Database:374
Unique views:247
Comments:0

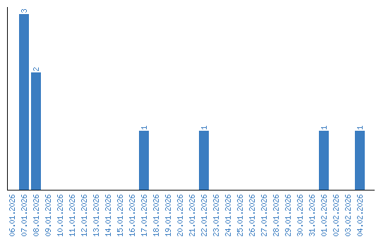
Viewing statistics by date