BussfotoBUSSFOTO

Bildstatistik

686 KB


Bild ID:717985
Filstorlek:686 KB
Författare:Ashark94
Publiceringsdatum:17.01.2025 18:08 EET
Dagar i databasen:336
Unika visningar:119
kommentarer:0

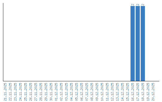
Visar statistik efter datum