BusphotoBUSPHOTO

Picture Statistics

295 KB


Picture ID:716882
File Size:295 KB
Author:Sergio87
Publication Date:15.01.2025 15:30 EET
Days in Database:388
Unique views:84
Comments:0

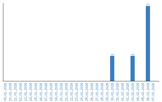
Viewing statistics by date