BusphotoBUSPHOTO

Picture Statistics

552 KB


Picture ID:71549
File Size:552 KB
Author:kr0t
Publication Date:30.03.2013 09:34 EET
Days in Database:4697
Unique views:228
Comments:0

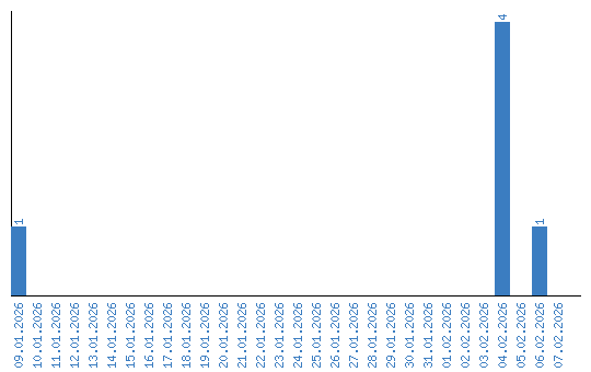
Viewing statistics by date