BusphotoBUSPHOTO

Picture Statistics

294 KB


Picture ID:715267
File Size:294 KB
Author:KRAKOMOBILA
Publication Date:10.01.2025 22:31 EET
Days in Database:384
Unique views:138
Comments:0

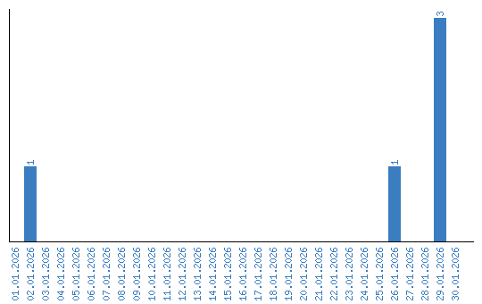
Viewing statistics by date