BusphotoBUSPHOTO

Picture Statistics

10379 KB


Picture ID:710917
File Size:10379 KB
Author:BusDriver235
Publication Date:31.12.2024 16:29 EET
Days in Database:396
Unique views:158
Comments:0

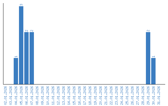
Viewing statistics by date