BusphotoBUSPHOTO

Picture Statistics

1092 KB


Picture ID:705551
File Size:1092 KB
Author:lordleon
Publication Date:16.12.2024 23:32 EET
Days in Database:398
Unique views:243
Comments:0

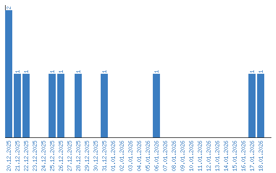
Viewing statistics by date