BusphotoBUSPHOTO

Picture Statistics

665 KB


Picture ID:701552
File Size:665 KB
Author:ТИСУ
Publication Date:05.12.2024 16:17 EET
Days in Database:428
Unique views:202
Comments:0

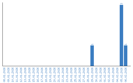
Viewing statistics by date