BusphotoBUSPHOTO

Picture Statistics

2257 KB


Picture ID:700153
File Size:2257 KB
Author:O13k
Publication Date:30.11.2024 22:53 EET
Days in Database:431
Unique views:193
Comments:0

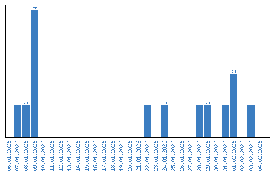
Viewing statistics by date