BusphotoBUSPHOTO

Picture Statistics

8470 KB


Picture ID:693117
File Size:8470 KB
Author:Florian27.02
Publication Date:10.11.2024 16:14 EET
Days in Database:410
Unique views:181
Comments:0

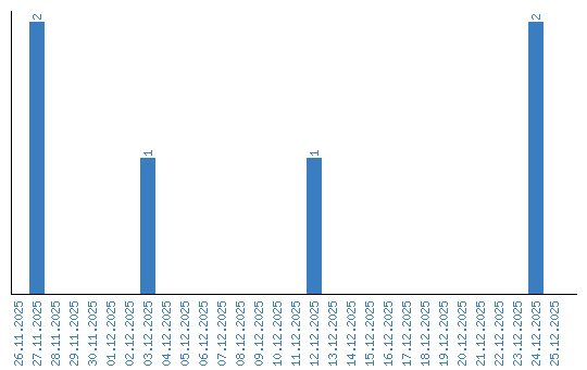
Viewing statistics by date