BusphotoBUSPHOTO

Статистика по зображенню

5357 КБ


Ідентифікатор зображення:688474
Розмір файлу:5357 КБ
Автор:uferlos88
Опубліковано:29.10.2024 20:55 EET
Знаходиться на сайті, днів:463
Унікальних переглядів:106
Коментарів:0

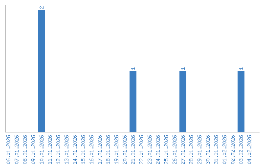
Динаміка переглядів за датами