BusphotoBUSPHOTO

Picture Statistics

7338 KB


Picture ID:686308
File Size:7338 KB
Author:ruhrspotting
Publication Date:24.10.2024 00:46 EET
Days in Database:472
Unique views:260
Comments:0

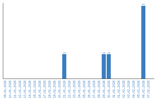
Viewing statistics by date