BusfotoBUSFOTO

Bildinformationen

277 KB


Foto-ID:685821
Dateigröße:277 KB
Aufgenommen von:re_460
Veröffentlicht am:22.10.2024 20:45 EET
Tage seit Veröffentlichung:465
Aufrufe:300
Kommentare:0

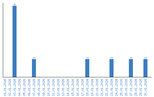
Aufrufestatistik (Tage)