BusphotoBUSPHOTO

Picture Statistics

877 KB


Picture ID:683240
File Size:877 KB
Author:M6001
Publication Date:15.10.2024 01:49 EET
Days in Database:473
Unique views:302
Comments:0

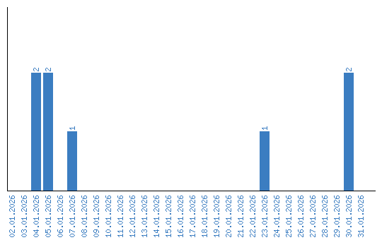
Viewing statistics by date