BusphotoBUSPHOTO

Picture Statistics

447 KB


Picture ID:669388
File Size:447 KB
Author:ToBen
Publication Date:08.09.2024 12:28 EET
Days in Database:514
Unique views:298
Comments:0

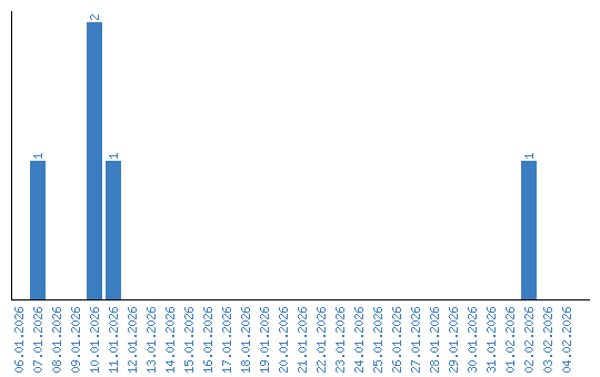
Viewing statistics by date