BusphotoBUSPHOTO

Picture Statistics

458 KB


Picture ID:66454
File Size:458 KB
Author:Артём Дмитренко
Publication Date:02.02.2013 20:22 EET
Days in Database:4753
Unique views:208
Comments:0

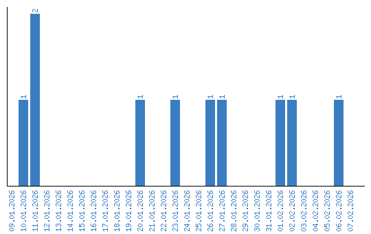
Viewing statistics by date