BusphotoBUSPHOTO

Statistiques d'images

3786 KO


ID de l'image:664509
Taille du fichier:3786 KO
Auteur:Andrey52
Date de publication:24.08.2024 18:54 EET
Jours dans la base de données:483
Vues uniques:72
Commentaires:0

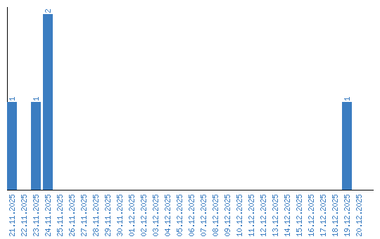
Affichage des statistiques par date