BusphotoBUSPHOTO

Picture Statistics

378 KB


Picture ID:663339
File Size:378 KB
Author:olegp
Publication Date:22.08.2024 03:29 EET
Days in Database:528
Unique views:213
Comments:0

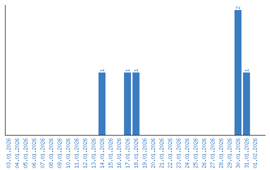
Viewing statistics by date