BusphotoBUSPHOTO

Informatsioon foto kohta

649 KB


Pildi ID:660210
Faili suurus:649 KB
Autor:Вадим Карагандинец
Avaldatud:14.08.2024 19:41 EET
Päevi saidil:516
Unikaalseid vaatamisi:384
Kommentaare:0

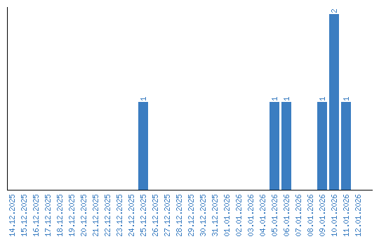
Vaatamiste statistika kuupäeviti