BusphotoBUSPHOTO

Picture Statistics

601 KB


Picture ID:655969
File Size:601 KB
Author:Вадим Карагандинец
Publication Date:02.08.2024 19:21 EET
Days in Database:551
Unique views:189
Comments:0

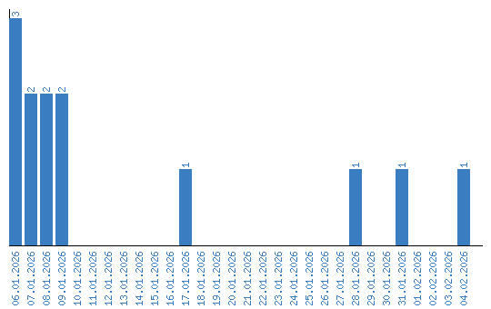
Viewing statistics by date