BusphotoBUSPHOTO

Picture Statistics

432 KB


Picture ID:652125
File Size:432 KB
Author:beffan
Publication Date:22.07.2024 00:15 EET
Days in Database:557
Unique views:236
Comments:0

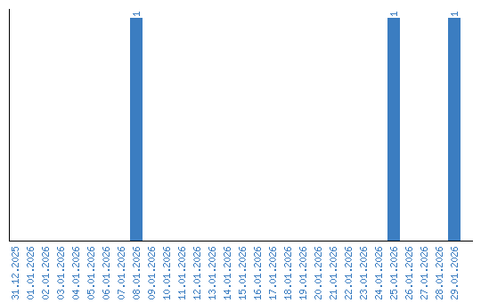
Viewing statistics by date