BusphotoBUSPHOTO

Picture Statistics

366 KB


Picture ID:650321
File Size:366 KB
Author:Lewar
Publication Date:17.07.2024 10:30 EET
Days in Database:522
Unique views:232
Comments:0

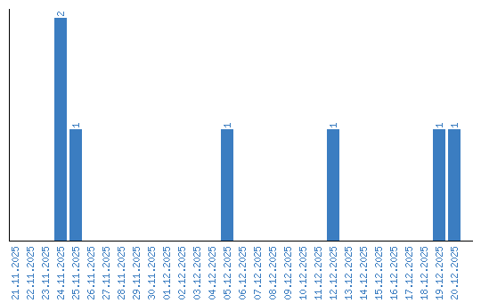
Viewing statistics by date