BusphotoBUSPHOTO

Picture Statistics

279 KB


Picture ID:646278
File Size:279 KB
Author:ToBen
Publication Date:05.07.2024 19:24 EET
Days in Database:582
Unique views:196
Comments:0

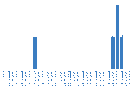
Viewing statistics by date