BusphotoBUSPHOTO

Picture Statistics

248 KB


Picture ID:646212
File Size:248 KB
Author:ToBen
Publication Date:05.07.2024 17:44 EET
Days in Database:576
Unique views:137
Comments:0

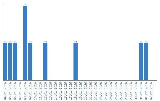
Viewing statistics by date