BusphotoBUSPHOTO

Picture Statistics

280 KB


Picture ID:645186
File Size:280 KB
Author:olegp
Publication Date:02.07.2024 19:43 EET
Days in Database:540
Unique views:173
Comments:0

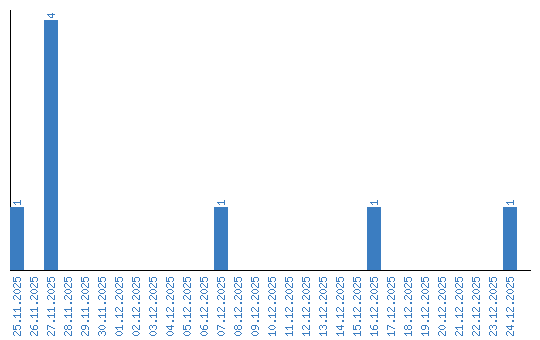
Viewing statistics by date