BusfotoBUSFOTO

Bildinformationen

906 KB


Foto-ID:644323
Dateigröße:906 KB
Aufgenommen von:Busfahrer_Marci
Veröffentlicht am:30.06.2024 14:54 EET
Tage seit Veröffentlichung:567
Aufrufe:282
Kommentare:0

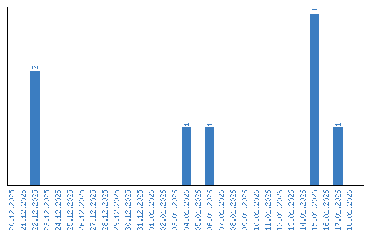
Aufrufestatistik (Tage)