BusphotoBUSPHOTO

Picture Statistics

425 KB


Picture ID:64318
File Size:425 KB
Author:kr0t
Publication Date:15.01.2013 14:48 EET
Days in Database:4771
Unique views:423
Comments:0

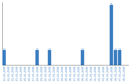
Viewing statistics by date