BusphotoBUSPHOTO

Picture Statistics

241 KB


Picture ID:641874
File Size:241 KB
Author:olegp
Publication Date:23.06.2024 15:19 EET
Days in Database:569
Unique views:269
Comments:0

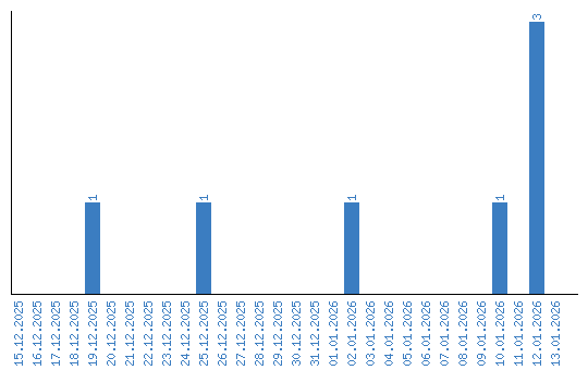
Viewing statistics by date