BusphotoBUSPHOTO

Picture Statistics

430 KB


Picture ID:63881
File Size:430 KB
Fotografato da:Серёга
Publication Date:12.01.2013 14:29 EET
Days in Database:4777
Unique views:420
Comments:0

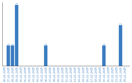
Viewing statistics by date