BusphotoBUSPHOTO

Picture Statistics

315 KB


Picture ID:637975
File Size:315 KB
Author:ToBen
Publication Date:13.06.2024 16:56 EET
Days in Database:603
Unique views:152
Comments:0

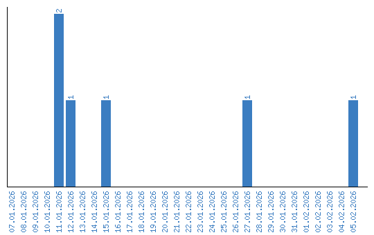
Viewing statistics by date