BusphotoBUSPHOTO

Picture Statistics

594 KB


Picture ID:635099
File Size:594 KB
Author:Der Zugchef
Publication Date:05.06.2024 10:49 EET
Days in Database:613
Unique views:434
Comments:0

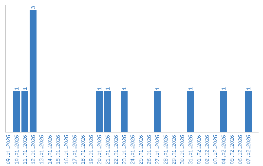
Viewing statistics by date