BusphotoBUSPHOTO

Picture Statistics

407 KB


Picture ID:632781
File Size:407 KB
Author:olegp
Publication Date:30.05.2024 14:21 EET
Days in Database:617
Unique views:133
Comments:0

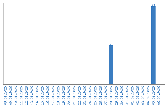
Viewing statistics by date