BusphotoBUSPHOTO

Picture Statistics

1544 KB


Picture ID:629974
File Size:1544 KB
Author:O405GN
Publication Date:24.05.2024 20:56 EET
Days in Database:619
Unique views:211
Comments:0

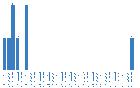
Viewing statistics by date