BusphotoBUSPHOTO

Picture Statistics

514 KB


Picture ID:628635
File Size:514 KB
Author:Valius Kedainietis
Publication Date:21.05.2024 09:04 EET
Days in Database:625
Unique views:271
Comments:0

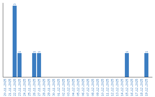
Viewing statistics by date