BusphotoBUSPHOTO

Picture Statistics

3920 KB


Picture ID:628147
File Size:3920 KB
Author:Romanoid
Publication Date:20.05.2024 11:39 EET
Days in Database:631
Unique views:513
Comments:2

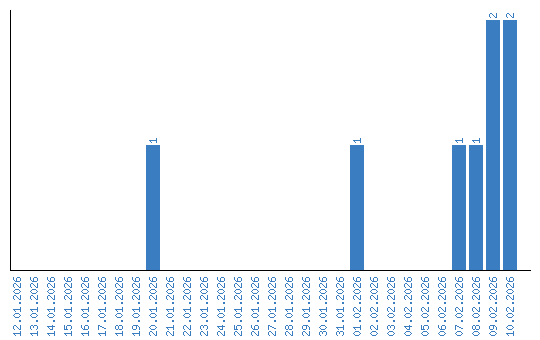
Viewing statistics by date