BusphotoBUSPHOTO

Statistiques d'images

673 KO


ID de l'image:627619
Taille du fichier:673 KO
Auteur:Саша Мелешенко
Date de publication:18.05.2024 20:58 EET
Jours dans la base de données:580
Vues uniques:332
Commentaires:0

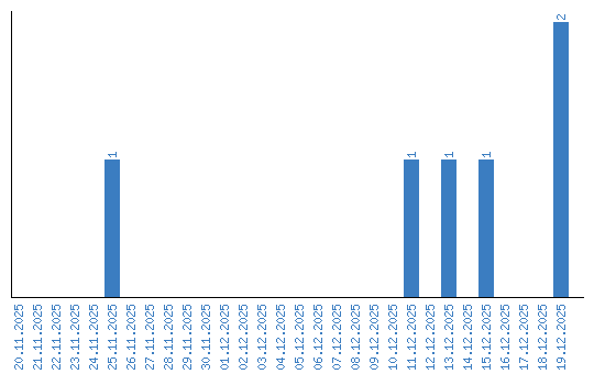
Affichage des statistiques par date