BusphotoBUSPHOTO

Statistiques d'images

2113 KO


ID de l'image:622492
Taille du fichier:2113 KO
Auteur:German Perfectionist
Date de publication:03.05.2024 23:02 EET
Jours dans la base de données:595
Vues uniques:214
Commentaires:0

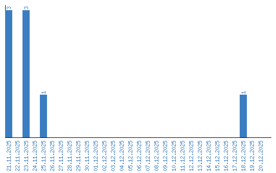
Affichage des statistiques par date