BusphotoBUSPHOTO

Picture Statistics

464 KB


Picture ID:62054
File Size:464 KB
Author:Lauri79
Publication Date:24.12.2012 10:42 EET
Days in Database:4768
Unique views:357
Comments:0

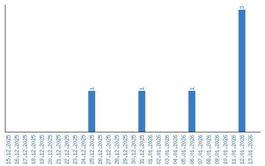
Viewing statistics by date