BusphotoBUSPHOTO

Picture Statistics

631 KB


Picture ID:610748
File Size:631 KB
Fotografato da:Дмитрий_931
Publication Date:31.03.2024 21:21 EET
Days in Database:633
Unique views:192
Comments:0

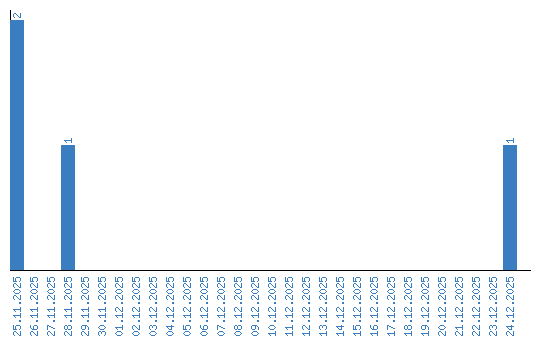
Viewing statistics by date