BusphotoBUSPHOTO

Picture Statistics

661 KB


Picture ID:604447
File Size:661 KB
Author:comet
Publication Date:11.03.2024 15:44 EET
Days in Database:649
Unique views:365
Comments:0

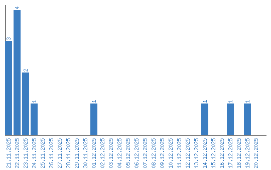
Viewing statistics by date