BusphotoBUSPHOTO

Picture Statistics

401 KB


Picture ID:599044
File Size:401 KB
Author:beffan
Publication Date:25.02.2024 21:20 EET
Days in Database:668
Unique views:289
Comments:0

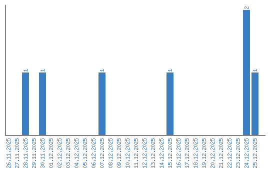
Viewing statistics by date