BusphotoBUSPHOTO

Picture Statistics

342 KB


Picture ID:597795
File Size:342 KB
Author:ToBen
Publication Date:23.02.2024 14:11 EET
Days in Database:713
Unique views:285
Comments:0

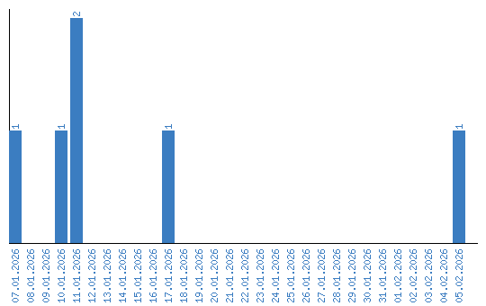
Viewing statistics by date