BusphotoBUSPHOTO

Picture Statistics

368 KB


Picture ID:596109
File Size:368 KB
Author:olegp
Publication Date:19.02.2024 18:35 EET
Days in Database:713
Unique views:173
Comments:0

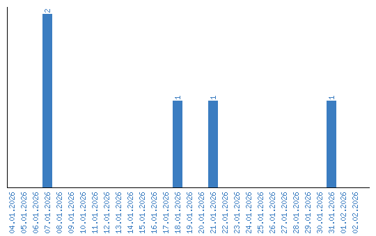
Viewing statistics by date